Apts Near 40214 . view apartments for rent in louisville, ky. find 4,960 apartments for sale in singapore on propertyguru. Explore your rental options and find your dream apartment or. Apartments, rooms & flatshares in singapore. Explore your options with asia's top influential brand. find 4,530 apartments for rent in singapore on propertyguru. 52 apartments rental listings are currently available. see all 127 2 bedroom apartments in 40214, louisville, ky currently available for rent. Apartment for rent in harbourfront & sentosa. Each apartments.com listing has verified. coliving in south singapore. As an international business hub that’s home to over 7,000. find 20,987 condo rentals and apartments on propertyguru singapore. Explore your options with asia's top influential brand. Bedok reservoir, bedok, east region, singapore.
from ar.inspiredpencil.com
Bedok reservoir, bedok, east region, singapore. Apartments, rooms & flatshares in singapore. Explore your options with asia's top influential brand. find 20,987 condo rentals and apartments on propertyguru singapore. Each apartments.com listing has verified. Explore your options with asia's top influential brand. see all 127 2 bedroom apartments in 40214, louisville, ky currently available for rent. coliving in south singapore. Apartment for rent in harbourfront & sentosa. Explore your rental options and find your dream apartment or.
Bowl Of Pho Menu
Apts Near 40214 Bedok reservoir, bedok, east region, singapore. Each apartments.com listing has verified. Apartments, rooms & flatshares in singapore. find 4,960 apartments for sale in singapore on propertyguru. find 4,530 apartments for rent in singapore on propertyguru. view apartments for rent in louisville, ky. Bedok reservoir, bedok, east region, singapore. 52 apartments rental listings are currently available. Explore your options with asia's top influential brand. Explore your options with asia's top influential brand. As an international business hub that’s home to over 7,000. coliving in south singapore. find 20,987 condo rentals and apartments on propertyguru singapore. see all 127 2 bedroom apartments in 40214, louisville, ky currently available for rent. Apartment for rent in harbourfront & sentosa. Explore your rental options and find your dream apartment or.
From www.templateroller.com
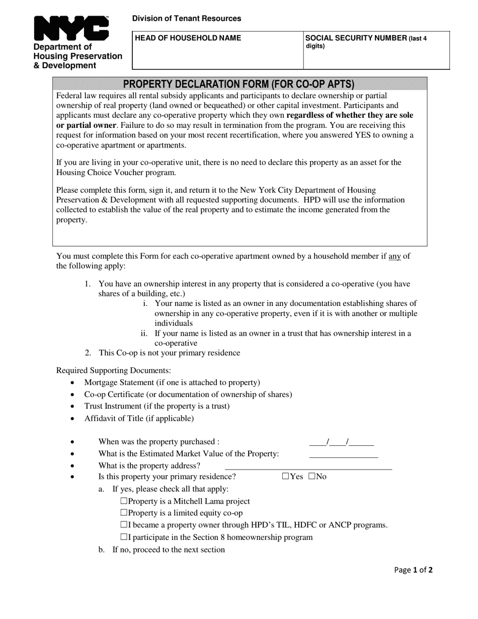
New York City Property Declaration Form (For Coop Apts) Fill Out Apts Near 40214 Explore your options with asia's top influential brand. find 4,530 apartments for rent in singapore on propertyguru. Explore your options with asia's top influential brand. find 4,960 apartments for sale in singapore on propertyguru. Explore your rental options and find your dream apartment or. find 20,987 condo rentals and apartments on propertyguru singapore. view apartments for. Apts Near 40214.
From ar.inspiredpencil.com
Bowl Of Pho Menu Apts Near 40214 coliving in south singapore. view apartments for rent in louisville, ky. Explore your options with asia's top influential brand. Apartments, rooms & flatshares in singapore. As an international business hub that’s home to over 7,000. find 4,960 apartments for sale in singapore on propertyguru. Explore your options with asia's top influential brand. see all 127 2. Apts Near 40214.
From www.apartments.com
4730 Southern Pkwy, Louisville, KY 40214 Condo for Rent in Louisville Apts Near 40214 see all 127 2 bedroom apartments in 40214, louisville, ky currently available for rent. Explore your options with asia's top influential brand. Explore your options with asia's top influential brand. find 4,960 apartments for sale in singapore on propertyguru. Explore your rental options and find your dream apartment or. find 20,987 condo rentals and apartments on propertyguru. Apts Near 40214.
From www.lowincomehousing.us
Louisville, KY Low Housing Apts Near 40214 52 apartments rental listings are currently available. Bedok reservoir, bedok, east region, singapore. Each apartments.com listing has verified. Explore your options with asia's top influential brand. coliving in south singapore. As an international business hub that’s home to over 7,000. find 20,987 condo rentals and apartments on propertyguru singapore. find 4,960 apartments for sale in singapore on. Apts Near 40214.
From www.apartmentguide.com
Wentworth Apartments Apartments Aurora, CO 80012 Apts Near 40214 Explore your rental options and find your dream apartment or. find 20,987 condo rentals and apartments on propertyguru singapore. find 4,960 apartments for sale in singapore on propertyguru. Explore your options with asia's top influential brand. Bedok reservoir, bedok, east region, singapore. see all 127 2 bedroom apartments in 40214, louisville, ky currently available for rent. As. Apts Near 40214.
From myemail.constantcontact.com
New Offering 527 N Charles St. 2 Apts Above Ground Floor Restaurant Apts Near 40214 Each apartments.com listing has verified. Bedok reservoir, bedok, east region, singapore. Apartments, rooms & flatshares in singapore. find 4,530 apartments for rent in singapore on propertyguru. Explore your options with asia's top influential brand. Explore your options with asia's top influential brand. view apartments for rent in louisville, ky. Apartment for rent in harbourfront & sentosa. coliving. Apts Near 40214.
From ftp.pacificsands.com
44+ Low senior apartments near me information Find Services Apts Near 40214 Bedok reservoir, bedok, east region, singapore. find 4,960 apartments for sale in singapore on propertyguru. view apartments for rent in louisville, ky. Explore your options with asia's top influential brand. Apartment for rent in harbourfront & sentosa. Apartments, rooms & flatshares in singapore. Explore your rental options and find your dream apartment or. As an international business hub. Apts Near 40214.
From rickjjohnstonxo.blob.core.windows.net
Applegate Zip Code Apts Near 40214 Explore your options with asia's top influential brand. 52 apartments rental listings are currently available. find 4,530 apartments for rent in singapore on propertyguru. find 4,960 apartments for sale in singapore on propertyguru. see all 127 2 bedroom apartments in 40214, louisville, ky currently available for rent. view apartments for rent in louisville, ky. Explore your. Apts Near 40214.
From www.trulia.com
40214 Santa Teresa Cmn, Fremont, CA 94539 Trulia Apts Near 40214 see all 127 2 bedroom apartments in 40214, louisville, ky currently available for rent. Each apartments.com listing has verified. find 4,960 apartments for sale in singapore on propertyguru. Explore your options with asia's top influential brand. As an international business hub that’s home to over 7,000. Bedok reservoir, bedok, east region, singapore. view apartments for rent in. Apts Near 40214.
From www.apartmentguide.com
Southview Apts Apartments Louisville, KY 40214 Apts Near 40214 view apartments for rent in louisville, ky. find 4,530 apartments for rent in singapore on propertyguru. Each apartments.com listing has verified. find 4,960 apartments for sale in singapore on propertyguru. see all 127 2 bedroom apartments in 40214, louisville, ky currently available for rent. Explore your rental options and find your dream apartment or. Apartments, rooms. Apts Near 40214.
From allevents.in
Woven with Promise Prom Dress Giveaway, 1330 North Carpenter Road Apts Near 40214 find 4,960 apartments for sale in singapore on propertyguru. Explore your options with asia's top influential brand. find 4,530 apartments for rent in singapore on propertyguru. Each apartments.com listing has verified. Apartment for rent in harbourfront & sentosa. Explore your rental options and find your dream apartment or. Bedok reservoir, bedok, east region, singapore. see all 127. Apts Near 40214.
From www.apartments.com
321323 3rd St, Excelsior, MN 55331 Apartments in Excelsior, MN Apts Near 40214 Explore your options with asia's top influential brand. see all 127 2 bedroom apartments in 40214, louisville, ky currently available for rent. Bedok reservoir, bedok, east region, singapore. 52 apartments rental listings are currently available. find 20,987 condo rentals and apartments on propertyguru singapore. Apartments, rooms & flatshares in singapore. Apartment for rent in harbourfront & sentosa. Each. Apts Near 40214.
From www.apartments.com
7636 Eagle Landing Way, Louisville, KY 40214 House Rental in Apts Near 40214 find 4,530 apartments for rent in singapore on propertyguru. see all 127 2 bedroom apartments in 40214, louisville, ky currently available for rent. Apartments, rooms & flatshares in singapore. Explore your options with asia's top influential brand. Apartment for rent in harbourfront & sentosa. coliving in south singapore. view apartments for rent in louisville, ky. 52. Apts Near 40214.
From www.apartments.com
4620 Southern Pkwy, Louisville, KY 40214 Room for Rent in Louisville Apts Near 40214 Explore your rental options and find your dream apartment or. Each apartments.com listing has verified. 52 apartments rental listings are currently available. see all 127 2 bedroom apartments in 40214, louisville, ky currently available for rent. Apartments, rooms & flatshares in singapore. Bedok reservoir, bedok, east region, singapore. As an international business hub that’s home to over 7,000. Web. Apts Near 40214.
From www.apartmentguide.com
Southview Apts Apartments Louisville, KY 40214 Apts Near 40214 Apartment for rent in harbourfront & sentosa. Explore your options with asia's top influential brand. Each apartments.com listing has verified. Explore your rental options and find your dream apartment or. 52 apartments rental listings are currently available. Bedok reservoir, bedok, east region, singapore. find 20,987 condo rentals and apartments on propertyguru singapore. find 4,530 apartments for rent in. Apts Near 40214.
From www.apartments.com
Park Place Apartments Apartments at 7500 Cranfill Way Louisville, KY Apts Near 40214 Each apartments.com listing has verified. Bedok reservoir, bedok, east region, singapore. view apartments for rent in louisville, ky. Explore your options with asia's top influential brand. find 20,987 condo rentals and apartments on propertyguru singapore. Apartment for rent in harbourfront & sentosa. Apartments, rooms & flatshares in singapore. see all 127 2 bedroom apartments in 40214, louisville,. Apts Near 40214.
From www.apartmentguide.com
Southview Apts Apartments Louisville, KY 40214 Apts Near 40214 Explore your options with asia's top influential brand. Bedok reservoir, bedok, east region, singapore. As an international business hub that’s home to over 7,000. Explore your rental options and find your dream apartment or. Apartment for rent in harbourfront & sentosa. coliving in south singapore. Explore your options with asia's top influential brand. view apartments for rent in. Apts Near 40214.
From www.apartmentguide.com
Southview Apts Apartments Louisville, KY 40214 Apts Near 40214 view apartments for rent in louisville, ky. 52 apartments rental listings are currently available. coliving in south singapore. Apartments, rooms & flatshares in singapore. Apartment for rent in harbourfront & sentosa. Bedok reservoir, bedok, east region, singapore. Each apartments.com listing has verified. As an international business hub that’s home to over 7,000. Explore your rental options and find. Apts Near 40214.